Real GRE Test Questions Help You Feel More Confidence On Test Day

Real GRE Test Questions Help You Feel More Confidence On Test Day

You need to know, GRE General Test is a standardized test created and administered by the Educational Testing Service, commonly known as ETS, that is designed to measure overall academic readiness for graduate school.Do best preparation on GRE General Test can help you feel more confidence on test day. We have real GRE test questions with 404 practice exam questions and answers to help you prepare for GRE General Test exam well. Come to ITExamShop to download GRE test questions with real answers in pdf file to do the best preparation.

Check GRE free questions are online below for checking first.

Page 1 of 6

1. A large cube and a small cube are made of granite of uniform density- The large cube has

edges of length 1.2 meters and weighs 4.752 kilograms.

If the small cube has edges of length 10 centimeters, what is the weight, in grains, of the small cube?

2. For the 3 days shown with the greatest daily number of television viewers, approximately what was the average (arithmetic mean) daily number of television viewers who watched Show XI

3. In the at-plane, line k intersects the rectangle shown at points P and O.





Which of the following represents the slope of line k ?

A)





B)





C)





D)





E)



4. If one item is tobe randomly selected from the items whose manufacturing cost is greater than $140.

What is the probability that the item selected will be one whose manufacturing time is greater than 60 minutes?

A)





B)





C)





D)





E)



5.

6. A candy retailer packs pieces of fudge either in boxes of 12 pieces each or in boxes of 15 pieces each. If the retailer uses only 12-piece boxes to pack a certain batch of fudge, then 1 piece will be left over. If the retailer uses only 15-piece boxes to pack the batch, then 10 pieces will be left over and the retailer will use 7 fewer boxes than when using the 12-piece boxes.

How many pieces of fudge are in the batch'1

7. All applicants for a certain job will take a skills test. An applicant who scores 80 percent or greater on the test has a probability of 0.65 of being hired.

8. The figure shows a semicircle intersected by a straight line in the rectangular coordinate system.





What is the area of the shaded region?

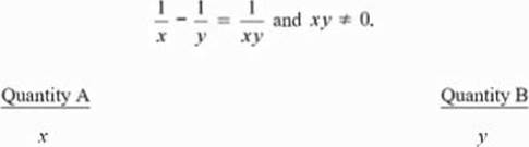
9.



A)





B)





C)





D)



10. A health club lias SOO members. 175 of whom exercised last Friday and 450 of whom exercised last Saturday. Of the members who exercised on at least one of the two days. 90 exercised both last Friday and last Saturday.

Which of the following statements are true?